一 二叉树的定义与特性

(一)二叉树的定义

  二叉树结点的有限集合组成。这个集合:

  • 可以为
  • 可以由一个根结点两棵不相交(指没有公共结点)的二叉树构成。

一些术语

  • 左子树右子树-由一个结点引出的两棵不相交的二叉树。
  • (结点M\mathbf{M}的)子结点-(结点MM的)各个子树的根结点。
  • (结点M\mathbf{M}的)父结点-若一个结点含有子结点MM,则这个结点称为结点MM的的父结点。
  • 路径-如果一棵树的一串结点n1n_1n2n_2,…,nkn_k有如下关系:结点nin_ini+1n_{i+1}父结点(1i<k)(1 \leq i \lt k),就把n1n_1n2n_2,…,nkn_k称为一条由n1n_1nkn_k的路径。这条路径的长度是k-1。
  • 祖先子孙-如果有一条路径从结点RR至结点MM,那么RR就称为MM的祖先,MM就称为RR的子孙。因此,所有结点都是根结点的子孙,而根结点是它们的祖先
  • (结点M\mathbf{M}的)深度-根结点到MM的路径的长度。
  • (树的)高度-最深结点的深度+1。
  • (结点M\mathbf{M}的)层数-(结点MM的)深度。规定根结点层数为0,深度为0。
  • 叶结点-没有非空子树的结点。
  • 分支结点(内部结点)-至少有一个非空子树的结点。

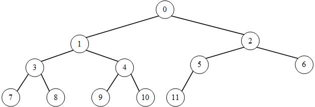
  图F1形象地指出了上述术语以便理解。除了图中所指出的术语,还有

  • 结点AACCEEGG的祖先;
  • 结点DDEEFF的层数是2,结点AA的层数是0;
  • AACCEEGG的这条边形成了一条长度为3的路径;
  • 结点DDGGHHII是叶结点,结点AABBCCEEFF是内部结点;
  • 结点II的深度是3;
  • 这棵树的高度是4\cdots
    F1.二叉树示例

  左子结点右子结点需要明确区分,交换它们得到的新二叉树与原二叉树不同。

单击此处查看二叉树结点的抽象类声明

  下面是从教材中摘录的二叉树结点的抽象类声明。

1
2
3
4
5
6
7
8
9
10
11
12
13
14
15
16
17
18
19
20
21
22
23
24
25
26
// Binary tree node abstract class
template <typename E> class BinNode {
public:
virtual ~BinNode() {} // Base destructor

// Return the node's value
virtual E& element() = 0;

// Set the node's value
virtual void setElement(const E&) = 0;

// Return the node's left child
virtual BinNode* left() const = 0;

// Set the node's left child
virtual void setLeft(BinNode*) = 0;

// Return the node's right child
virtual BinNode* right() const = 0;

// Set the node's right child
virtual void setRight(BinNode*) = 0;

// Return true if the node is a leaf, false otherwise
virtual bool isLeaf() = 0;
};

一些术语

  • 满二叉树-每一个结点或者是一个分支结点并且恰好有两个非空子结点,或者是叶结点。
  • 完全二叉树-要求从根结点起每一层从左到右填充,一棵高度为dd的完全二叉树除了d1d-1层以外,每一层都是满的。底层叶结点集中在左边的若干位置上。

  图F2展示了满二叉树(如图F2.a所示)和完全二叉树(如图F2.b所示)的示例。
F2.满二叉树、完全二叉树示例

(二)满二叉树定理

  • 非空满二叉树的叶结点数等于其分支结点数加1;
  • 一棵非空二叉树空子树的数目等于其结点数目加1。

  注意叶结点的两个空子树也要计入上述空子树的数目中。


二 遍历二叉树

(一)遍历方式

一些术语

  • 遍历-按照一定顺序访问二叉树的结点。
  • 枚举-对每个结点都进行一次访问并将其列出。
  • 前序遍历-先访问结点,然后访问其子结点。例如对图F1二叉树按照前序遍历枚举的结果是:ABDCEGFHI
  • 后序遍历-先访问结点的子结点(包括它们的子树),然后访问该结点。例如对图F1二叉树按照后序遍历枚举的结果是:DBGEHIFCA
  • 中序遍历-先访问左子结点(包括整棵子树),然后访问该结点,最后访问右子结点(包括整棵子树)。例如对图F1二叉树按照中序遍历枚举的结果是:BDAGECHFI

  要将以上遍历方式用函数来实现,很自然想到递归函数。教材中列举了两种实现前序遍历的方法。

1
2
3
4
5
6
7
8
9
10
11
12
13
14
template <typename E>
void preorder(BinNode<E>* root) {
if (root == NULL) return; // Empty subtree, do nothing
visit(root); // Perform desired action
preorder(root->left());
preorder(root->right());
}

template <typename E>
void preorder2(BinNode<E>* root) {
visit(root); // Perform whatever action is desired
if (root->left() != NULL) preorder2(root->left());
if (root->right() != NULL) preorder2(root->right());
}

  后者在递归前会检查空子树,如果为空,则不必递归。然而教材指出,这样只能有极少甚至没有任何性能改善,这是因为后者需要对结点的左右子结点连续访问两次。与此同时,当后者函数被传入空指针时,它将失败——这并不是一个安全可靠的设计。这意味着进行设计时,务必要使程序能够避免意外情况以提高安全性。此外,对于遍历算法的设计,好的设计要求只允许树类访问BinNode类。因此,可以为树类提供一个通用遍历函数,它把访问处理函数作为遍历函数的一个参数或者一个模板参数——这就是访问者模式。这种方法的主要问题是必须事先确定所有访问处理函数的“签名”,即它们的返回类型和参数

(二)限制访问

  如何控制使用递归处理时只访问需要访问的数据呢?教材给出的方法是添加局部计算。也就是说,需要加入判断——一旦不满足需求条件,就立即返回而不进行下一步计算。


三 二叉树的实现

(一)使用指针实现二叉树

单击此处查看二叉树结点的实现

  下面是从教材中摘录的二叉树结点的实现。

1
2
3
4
5
6
7
8
9
10
11
12
13
14
15
16
17
18
19
20
21
22
23
24
25
26
27
28
29
30
31
32
33
34
35
36
// This is the file to include for access to the complete binary node
// template implementation

#include "BinNode.h"

// Simple binary tree node implementation
template <typename Key, typename E>
class BSTNode : public BinNode<E> {
private:
Key k; // The node's key
E it; // The node's value
BSTNode* lc; // Pointer to left child
BSTNode* rc; // Pointer to right child

public:
// Two constructors -- with and without initial values
BSTNode() { lc = rc = NULL; }
BSTNode(Key K, E e, BSTNode* l =NULL, BSTNode* r =NULL)
{ k = K; it = e; lc = l; rc = r; }
~BSTNode() {} // Destructor

// Functions to set and return the value and key
E& element() { return it; }
void setElement(const E& e) { it = e; }
Key& key() { return k; }
void setKey(const Key& K) { k = K; }

// Functions to set and return the children
inline BSTNode* left() const { return lc; }
void setLeft(BinNode<E>* b) { lc = (BSTNode*)b; }
inline BSTNode* right() const { return rc; }
void setRight(BinNode<E>* b) { rc = (BSTNode*)b; }

// Return true if it is a leaf, false otherwise
bool isLeaf() { return (lc == NULL) && (rc == NULL); }
};
  • 为了实现检索,在以上实现中加入了关键码
  • 像链表一样,二叉树的实现也可以使用可利用空间表,这需要重载newdelete操作符。

  注意到在以上实现中每一个结点都有两个指针,一个指向左子结点,另一个指向右子结点。但是二叉树中叶结点并不需要这样的两个指针。同时,在有的应用中,分支结点与叶结点被要求存储不同的数据。因此,为了节省空间、满足一些需求,区分叶结点和分支结点是必要的。
  教材介绍了两种实现方式,它们的区别是将traverse函数实现在树类还是结点子类。后者使用了复合设计模式(对象包含各种可能的动作处理),查看下面的代码以观察区别。

单击此处查看区分叶结点和分支结点的两种实现

  下面是从教材中摘录的区分叶结点和分支结点的两种实现。

1
2
3
4
5
6
7
8
9
10
11
12
13
14
15
16
17
18
19
20
21
22
23
24
25
26
27
28
29
30
31
32
33
34
35
36
37
38
39
40
41
42
43
44
45
46
47
48
49
50
51
52
// Test for variable nodes implemented with a composite design.
// The test vehicle is an expression tree.
// The program builds and traverses a simple tree.

#include "book.h"

typedef char Operator;
typedef string Operand;

// Node implementation with simple inheritance
class VarBinNode { // Node abstract base class
public:
virtual ~VarBinNode() {}
virtual bool isLeaf() = 0; // Subclasses must implement
};

class LeafNode : public VarBinNode { // Leaf node
private:
Operand var; // Operand value

public:
LeafNode(const Operand& val) { var = val; } // Constructor
bool isLeaf() { return true; } // Version for LeafNode
Operand value() { return var; } // Return node value
};

class IntlNode : public VarBinNode { // Internal node
private:
VarBinNode* left; // Left child
VarBinNode* right; // Right child
Operator opx; // Operator value

public:
IntlNode(const Operator& op, VarBinNode* l, VarBinNode* r)
{ opx = op; left = l; right = r; } // Constructor
bool isLeaf() { return false; } // Version for IntlNode
VarBinNode* leftchild() { return left; } // Left child
VarBinNode* rightchild() { return right; } // Right child
Operator value() { return opx; } // Value
};

void traverse(VarBinNode *root) { // Preorder traversal
if (root == NULL) return; // Nothing to visit
if (root->isLeaf()) // Do leaf node
cout << "Leaf: " << ((LeafNode *)root)->value() << endl;
else { // Do internal node
cout << "Internal: "
<< ((IntlNode *)root)->value() << endl;
traverse(((IntlNode *)root)->leftchild());
traverse(((IntlNode *)root)->rightchild());
}
}
1
2
3
4
5
6
7
8
9
10
11
12
13
14
15
16
17
18
19
20
21
22
23
24
25
26
27
28
29
30
31
32
33
34
35
36
37
38
39
40
41
42
43
44
45
46
47
48
49
50
51
52
53
54
// Test for variable nodes implemented with a composite design.
// The test vehicle is an expression tree.
// The program builds and traverses a simple tree.

#include "book.h"

typedef char Operator;
typedef string Operand;

// Node implementation with the composite design pattern
class VarBinNode { // Node abstract base class
public:
virtual ~VarBinNode() {} //Generic destructor
virtual bool isLeaf() = 0;
virtual void traverse() = 0;
};

class LeafNode : public VarBinNode { // Leaf node
private:
Operand var; // Operand value

public:
LeafNode(const Operand& val) { var = val; } // Constructor
bool isLeaf() { return true; } // isLeaf for LeafNode
Operand value() { return var; } // Return node value
void traverse() { cout << "Leaf: " << value() << endl; }
};

class IntlNode : public VarBinNode { // Internal node
private:
VarBinNode* lc; // Left child
VarBinNode* rc; // Right child
Operator opx; // Operator value

public:
IntlNode(const Operator& op, VarBinNode* l, VarBinNode* r)
{ opx = op; lc = l; rc = r; } // Constructor

bool isLeaf() { return false; } // isLeaf for IntlNode
VarBinNode* left() { return lc; } // Left child
VarBinNode* right() { return rc; } // Right child
Operator value() { return opx; } // Value

void traverse() { //Traversal behavior for internal nodes
cout << "Internal: " << value() << endl;
if (left != NULL) left->traverse();
if (right != NULL) right->traverse();
}
};

// Do a preorder traversal
void traverse(VarBinNode *root) {
if (root != NULL) root->traverse();
}

  两种实现各有千秋:

  • 前者容易给树类添加新的方法;traverse函数需要枚举所有子类,这要求对子类很熟悉;添加子类时需要修改traverse函数;
  • 后者添加新的方法时需要在涉及的子类中添加;traverse函数在子类中,由子类自行负责遍历的处理工作;添加子类时,无需修改过往的子类中的traverse函数,也无需关注其他子类(这是复合设计模式所赋予的优点)。同时,后者在使用时不能用NULL指针来调用,因为没有办法捕捉它——这个问题可以用享元模式实现空结点的方式来避免。

  如果结点子类对用户透明,应选用前者;如果有意将结点和树相互分开,不让树的用户知道结点的存在,则应选用后者。

(二)空间代价

  • 在简单的基于指针的二叉树中,每个结点都有两个指针指向其子结点。对于有nn个结点的这样的二叉树,设一个指针所占空间的大小为PP,一个数据值所占的空间大小为DD,那么总空间合计为n(2P+D)n(2P+D),结构性开销为2Pn2Pn。这样,结构性开销所占比例就是2P/(2P+D)2P/(2P+D)
  • 在更加常见的实现方法中,结点不存储数据而仅存储指向这个数据的指针。也就是说,结点处存储三个指针,并且其中一个指针指向数据,另外两个指针指向子结点——这三个指针都是结构性开销,即3P3P;总空间则合计为3P+D3P+D——因此,结构性开销所占的比例就是3P/(3P+D)3P/(3P+D)
  • 如果只有叶结点存储数据,就可以采用分支结点只存储两个指针,没有数据区,叶结点则只包含一个数据区,这样一来,总空间合计为2Pn+D(n+1)2Pn+D(n+1),结构性开销所占比例就是2P/(2Pn+D(n+1))2P/(2Pn+D(n+1))

  针对只有叶结点存储数据的情况,教材上有诸多关于区分叶结点和分支结点的讨论。注意到在上面的实现中,采用了虚函数isLeaf来标志结点类型,但是这样就有一个严重的缺陷——每个结点都增加了额外的空间开销,它的解决办法之一是用一位的空间区别

  • 使用结点值区域的一位来表示结点类型;
  • 使用结点指针的一个空闲位存储结点类型(前提是编译器要求结构与类必须从字的边界开始,使得指针值的最后一位总是为0);

  解决办法之二是使用叶结点数据代替指向叶结点的指针(如果叶结点的数据区比一个指针小)。这种办法(称为位压缩)用于空间非常有限的时候,但通常应该避免——它降低了可读性。

(三)使用数组实现完全二叉树

  由于完全二叉树的特性,有n个结点的完全二叉树只可能有一种形状。因此,每个结点的亲属在数组中的位置关系总是确定的(如图F3所示,图中数字就是这个结点在数组中的下标)。这样一来,就不需要指向左右子结点的指针了。
F3.使用数组实现的完全二叉树示例

  设完全二叉树结点的总数为n,某结点的下标为r(介于0到n-1之间)。

  • Parent(r)=⌊(r-1)/2⌋,当r ≠ 0时;
  • Leftchild(r)=2r+1,当2r+1 < n时;
  • Rightchild(r)=2r+2。当2r+2 < n时;
  • Leftsibling(r)=r-1,当r为偶数时;
  • Rightsibling(r)=r+1,当r为奇数并且r+1 < n时。

三 二叉检索树

  二叉检索树能够兼备插入与检索都很快的优点,它的时间代价取决于树的形状——对于平衡二叉树(高度尽可能小),它在平均情况下的插入时间代价和检索时间代价都是Θ(logn)\Theta(\log n);对于严重不平衡二叉树,它在最差情况下的插入时间代价是Θ(n)\Theta(n),检索时间代价是Θ(n)\Theta(n)——因而优于线性表。它具有这样的条件:对于二叉检索树的任何一个结点,设其值为K,则该结点左子树中任意一个结点的值都小于K;该结点右子树中任意一个结点的值都大于或等于K。这样一来,如果按照中序遍历打印各个结点,就会发现它们是按从小到大的顺序排列的。
  基于这样的特点,从根结点开始检索K值,那么就应该遵循这样的流程:如果K等于根结点存储的值,则检索结束,否则就应该检索更深一层。如果K小于根结点的值,检索左子树;如果K大于根结点的值,检索右子树。以上过程重复直至K被找到或者遇到叶结点为止。如果遇到叶结点仍未找到K,则K不在该二叉检索树中。

单击此处查看二叉检索树的声明

  下面是从教材中摘录的二叉树检索树的声明。

1
2
3
4
5
6
7
8
9
10
11
12
13
14
15
16
17
18
19
20
21
22
23
24
25
26
27
28
29
30
31
32
33
34
35
36
37
38
39
40
41
42
43
44
45
46
47
48
49
50
51
52
53
54
55
56
57
58
59
60
61
62
63
64
65
66
67
68
69
70
71
72
73
74
75
76
77
78
// This file includes all of the pieces of the BST implementation

// Include the node implementation
#include "BSTNode.h"

// Include the dictionary ADT
#include "dictionary.h"

// Binary Search Tree implementation for the Dictionary ADT
template <typename Key, typename E>
class BST : public Dictionary<Key,E> {
private:
BSTNode<Key,E>* root; // Root of the BST
int nodecount; // Number of nodes in the BST

// Private "helper" functions
void clearhelp(BSTNode<Key, E>*);
BSTNode<Key,E>* inserthelp(BSTNode<Key, E>*,
const Key&, const E&);
BSTNode<Key,E>* deletemin(BSTNode<Key, E>*);
BSTNode<Key,E>* getmin(BSTNode<Key, E>*);
BSTNode<Key,E>* removehelp(BSTNode<Key, E>*, const Key&);
E findhelp(BSTNode<Key, E>*, const Key&) const;
void printhelp(BSTNode<Key, E>*, int) const;

public:
BST() { root = NULL; nodecount = 0; } // Constructor
~BST() { clearhelp(root); } // Destructor

void clear() // Reinitialize tree
{ clearhelp(root); root = NULL; nodecount = 0; }

// Insert a record into the tree.
// k Key value of the record.
// e The record to insert.
void insert(const Key& k, const E& e) {
root = inserthelp(root, k, e);
nodecount++;
}

// Remove a record from the tree.
// k Key value of record to remove.
// Return: The record removed, or NULL if there is none.
E remove(const Key& k) {
E temp = findhelp(root, k); // First find it
if (temp != NULL) {
root = removehelp(root, k);
nodecount--;
}
return temp;
}
// Remove and return the root node from the dictionary.
// Return: The record removed, null if tree is empty.
E removeAny() { // Delete min value
if (root != NULL) {
E temp = root->element();
root = removehelp(root, root->key());
nodecount--;
return temp;
}
else return NULL;
}

// Return Record with key value k, NULL if none exist.
// k: The key value to find. */
// Return some record matching "k".
// Return true if such exists, false otherwise. If
// multiple records match "k", return an arbitrary one.
E find(const Key& k) const { return findhelp(root, k); }

// Return the number of records in the dictionary.
int size() { return nodecount; }

void print() const { // Print the contents of the BST
if (root == NULL) cout << "The BST is empty.\n";
else printhelp(root, 0);
}
};

  在该类的私有域中包含了若干帮助函数。注意到当调用公有域的函数时,总是需要这些帮助函数来实现相应的功能。这是因为这些函数都含有将根结点迭代的函数递归操作。但是,我们无从得知根结点——它被置于私有域中,外部无法直接访问——也就无法在这些公有域的函数传参时加入根结点这一参数。这样一来,仅凭公有域的函数本身是无法实现递归的。因此,在私有域中定义一些帮助函数(将在下面呈现,可以观察到它们都有递归操作),这些函数都可以访问根结点。这样一来,利用这些帮助函数就能在公有域的函数中实现相应的功能。

  下面是7个帮助函数的实现。
clearhelp函数:递归地从最后一个结点开始上移释放,这是因为一个结点的子结点必须先于结点本身释放。

1
2
3
4
5
6
7
8
9
// Clean up BST by releasing space back free store
template <typename Key, typename E>
void BST<Key, E>::
clearhelp(BSTNode<Key, E>* root) {
if (root == NULL) return;
clearhelp(root->left());
clearhelp(root->right());
delete root;
}

inserthelp函数:递归地从根结点开始下移,将值插入到合适的位置。在整个插入过程中,每一次递归都将返回一个指针。除了表层的递归,其余递归所返回的指针都作为函数setLeftsetRight的参数;表层的递归返回的指针则赋予root = inserthelp(root, k, e);。实际上,从根结点到被插入结点的父结点,该路径上的各个结点都被赋予了相应的子结点指针值,这是不必要的(因为改变的只有被插入结点的父结点的子结点指针值),但由于该方法的简洁性,这些额外的赋值是值得的。

1
2
3
4
5
6
7
8
9
10
11
// Insert a node into the BST, returning the updated tree
template <typename Key, typename E>
BSTNode<Key, E>* BST<Key, E>::inserthelp(
BSTNode<Key, E>* root, const Key& k, const E& it) {
if (root == NULL) // Empty tree: create node
return new BSTNode<Key, E>(k, it, NULL, NULL);
if (k < root->key())
root->setLeft(inserthelp(root->left(), k, it));
else root->setRight(inserthelp(root->right(), k, it));
return root; // Return tree with node inserted
}

getmin函数:根据二叉检索树的特性,寻找最小值只需要沿着左边的链不断向下移直到无法再向下移。

1
2
3
4
5
6
7
8
// Get the minimum value from the BST, returning a pointer to the node
template <typename Key, typename E>
BSTNode<Key, E>* BST<Key, E>::
getmin(BSTNode<Key, E>* rt) {
if (rt->left() == NULL)
return rt;
else return getmin(rt->left());
}

deletemin函数:(注意到在这个函数的实现中,指向最小值结点min的指针被修改为指向结点min的右子结点,这样做没有改变二叉检索树的特性)

1
2
3
4
5
6
7
8
9
10
11
// Delete the minimum value from the BST, returning the revised BST
template <typename Key, typename E>
BSTNode<Key, E>* BST<Key, E>::
deletemin(BSTNode<Key, E>* rt) {
if (rt->left() == NULL) // Found min
return rt->right();
else { // Continue left
rt->setLeft(deletemin(rt->left()));
return rt;
}
}

removehelp函数:如果要删除一个特定的值为k的结点R,就需要先检索到R。如果它存在,那么就要分情况讨论:

  • R没有子结点。将R的父结点指向R的指针改为NULL
  • R只有一个子结点。将R的父结点指向R的指针改为指向R的子结点。
  • R有两个子结点。从某棵子树中找出一个能代替R的值。为了不改变二叉检索树的特性,这个值应当是大于(或等于)k的最小者,或者小于k的最大者

为什么要选择大于(或等于)k的最小者,或者小于k的最大者?
  大于(或等于)k的最小者一定在被删除结点的右子树,小于k的最大者一定在被删除结点的左子树。它们都处于叶结点处,删除其一并不会改变二叉检索树的特性。将其一代替被删除结点——这个结点的值一定大于左子树的其它结点(因为它或者是左子树的最大者,或者是右子树(右子树的结点值一定都大于左结点)的结点),也一定小于或等于右子树的其它结点(同理)——因此代替并不会改变二叉检索树的特性。
  注意,如果这个代替值有重复,不能用左子树的结点来代替,因为会破坏二叉检索树的特性——它只允许右子树中有与根结点相等的值。因此,总是优先选取右子树中的结点,也就是大于(或等于)k的最小者进行代替

1
2
3
4
5
6
7
8
9
10
11
12
13
14
15
16
17
18
19
20
21
22
23
24
25
26
27
28
29
30
// Remove a node with key value k
// Return: The tree with the node removed
template <typename Key, typename E>
BSTNode<Key, E>* BST<Key, E>::
removehelp(BSTNode<Key, E>* rt, const Key& k) {
if (rt == NULL) return NULL; // k is not in tree
else if (k < rt->key())
rt->setLeft(removehelp(rt->left(), k));
else if (k > rt->key())
rt->setRight(removehelp(rt->right(), k));
else { // Found: remove it
BSTNode<Key, E>* temp = rt;
if (rt->left() == NULL) { // Only a right child
rt = rt->right(); // so point to right
delete temp;
}
else if (rt->right() == NULL) { // Only a left child
rt = rt->left(); // so point to left
delete temp;
}
else { // Both children are non-empty
BSTNode<Key, E>* temp = getmin(rt->right());
rt->setElement(temp->element());
rt->setKey(temp->key());
rt->setRight(deletemin(rt->right()));
delete temp;
}
}
return rt;
}

findhelp函数

1
2
3
4
5
6
7
8
9
10
11
// Find a node with the given key value
template <typename Key, typename E>
E BST<Key, E>::findhelp(BSTNode<Key, E>* root,
const Key& k) const {
if (root == NULL) return NULL; // Empty tree
if (k < root->key())
return findhelp(root->left(), k); // Check left
else if (k > root->key())
return findhelp(root->right(), k); // Check right
else return root->element(); // Found it
}

printhelp函数

1
2
3
4
5
6
7
8
9
10
11
// Print out a BST
template <typename Key, typename E>
void BST<Key, E>::
printhelp(BSTNode<Key, E>* root, int level) const {
if (root == NULL) return; // Empty tree
printhelp(root->left(), level+1); // Do left subtree
for (int i=0; i<level; i++) // Indent to level
cout << " ";
cout << root->key() << "\n"; // Print node value
printhelp(root->right(), level+1); // Do right subtree
}