数据结构 | 通用树
一些术语:
- 通用树(以下简称树)-由一个或一个以上结点组成的有限集,其中没有父结点的结点称为根结点。
- 最左子结点-子树从左到右排列,其中最左边的子树的根结点称为最左子结点。
- (结点M的)出度-(结点M的)子结点数目。
- 森林-一棵或更多棵树的集合。
注意到树和二叉树的主要区别:
- 二叉树的出度至多为2,但树没有限制;
- 二叉树交换左右子结点得到的新树与原树不同,但树交换没有区别。
一 树结点的ADT
注意到树的出度是没有限制的,那么建立树类时就应该注意找到一种能够处理这种情况的方法。实现它一般来说可以采用数组或链表的形式,后者更为常见。
单击此处查看树和树结点的类定义
下面是从教材中摘录的树和树结点的类定义。注意到其中的leftmostChild和rightSibling函数,使用它们可以很好的完成遍历操作。
1 | // General tree node ADT |
这就是一种用链表的形式实现的树和树结点的类。
二 树的遍历
树的遍历与二叉树类似,分为前根遍历、中根遍历、后根遍历。其中中根遍历因为子结点数目不确定的原因而难以定义,一般也不使用。
遍历过程会使用到上面的leftmostChild和rightSibling函数,每当遍历子结点时,总是先调用leftmostChild函数访问最左子结点,然后对其调用rightSibling函数来依次访问最左子结点右边的兄弟结点,直到最右子结点(它右边的兄弟结点是NULL)。
三 父指针表示法
在解决“任意给出两个不同的结点,判断它们是否在同一棵树中”这样的问题时,仅凭上文的方法是无法解决的。一个有效的解决方法是使用父指针表示法——只需要顺着父指针链就能追溯到根结点,从而判断给定结点是否在同一棵树中。使用这种方法,每个结点只需要保存一个指针域指向其父结点。
一些术语:
- 不相交子集-交集为空的两个集合。对于这样的集合,希望提供判断两个结点是否在同一集合中和归并两个集合的操作。
- 并查算法(也称并查集)-通过合并两个不相交子集来找出两个结点是否在同一个集合的过程。
并查算法用一棵树表示一个集合。结点通常存储在数组中——每个数组元素表示一个结点,并存储该结点的值、父指针(用于区分不同的树)和指向子树的指针(如果有),这样便通过一个数组表示了一组树结构。这一节仅仅将目光聚焦在父指针上。
单击此处查看并查算法的实现
下面是从教材中摘录的并查算法的实现。注意到其中的UNION函数执行归并操作。
1 | // General tree representation for UNION/FIND |
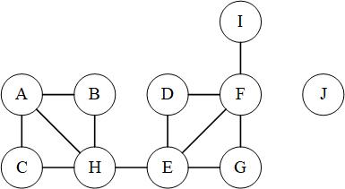
图F1进一步形象地展示了父结点表示法,在这个数组中容纳了两棵树(实际上,对于有n个结点的集合,它对应的数组可以容纳至多n棵无关的树)。为了简明起见,父指针表示为父结点在数组中位置的下标值。树的根结点存储ROOT值,在图F1中表示为斜线。

父指针表示法并非是出于一般性目的的,它总是用来解决一些特定的问题,例如在本节开头提到的“任意给出两个不同的结点,判断它们是否在同一棵树中”。上面的实现中已经大致阐述了这个问题的解决思路及其核心算法——并查算法。在这个卡片中,我们要指出这个问题的一个重要应用——解决等价类问题。
以下给出了一些重要的术语阐释以便在后面的阅读中查阅:
- 等价关系-具有自反性、对称性和传递性的一种关系;
- 等价类-利用等价关系对一个集合进行划分的结果;
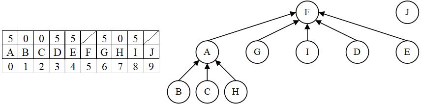
- 等价对(的表示)-如果图中某两个结点X,Y之间存在一条通路,就认为这两个结点是等价的,并将等价对表示为(X, Y)。如图F2所示,(A, B) (A, C)等等都是等价对;

以图F2为例,我们来尝试解决一个等价类问题:已知若干对等价对(如图F2所示),试将其划分为等价类。
这个问题的解决步骤是这样的:
- 将每一个结点独立(如图F3.a所示);
- 输入一个等价关系(从结果而言,等价关系的输入顺序无关紧要,但是会影响问题处理效率,这里忽略顺序对效率的影响),并使用
differ函数检查它们是否在同一等价类(即同一棵树)中。如果是,则不做处理;如果不是,则使用UNION函数归并两个等价类。为了使等价对的处理尽可能高效,每个结点到其相应根结点的距离应该尽可能小,因此,在归并前可以采用路径压缩、在归并时可以采用加权合并规则来减少树的高度。
路径压缩
设根结点为R,则路径压缩把由X到R的路径上每个结点的父指针都设置为直接指向R。路径压缩的代价非常接近常数,约为(其中是指在之前要对取对数操作的次数)。因此,个路径压缩的代价非常接近于。加权合并规则
在把结点较少的一棵树与结点较多的一棵树归并时,把结点较少树的根结点指向结点较多树的根结点。这样可以把树的整体深度限制在。在图F3.c仅仅运用本方法,在其状态下对等价对(H,E)进行处理,处理结果如图F3.d所示。
应用以上两种方法,在图F3.c的状态下对等价对(H,E)进行处理,处理结果如图F4所示。其过程如下:
- 应用路径压缩,在归并前使H指向A、E指向F;
- 应用加权合并规则,在归并时使A指向F。


四 树的实现
(一)子结点表表示法
子结点表表示法中,每个分支结点都存储其子结点形成的一个链表。在数组中,每个结点包括结点值,一个父指针(或索引)以及一个指向子结点链表的指针,链表中子结点的顺序从左到右,如图F5.b所示。注意到这种表示法是否能够很好的实现“树和树结点的类定义”抽象数据类型。在实现rightSibling时,本表示法显得过于繁琐。考虑这种情况——如果有一个结点M,并且其父结点为P,那么查找M的兄弟结点就需要沿着结点P的子结点表向右移动,直至找到M,那么其下一个结点就是M的兄弟结点。这个过程较为复杂,最差情况下需要查找全部子结点。
(二)左子结点/右兄弟结点表示法
针对子结点表表示法的缺陷,本表示法进行了改进。在数组中,每个结点包括结点值和指向父结点、最左子结点、右兄弟结点的指针,如图F5.c所示。这样一来,调用rightSibling时只需要读取结点中的右兄弟结点指针即可。更好的是,在子结点表表示法中,对每个结点分配的空间并不是固定的,而这种方法也很好的解决了此问题。
(三)动态结点表示法
除了使用数组来存储结点,类比二叉树,还可以使用指针来实现树。可以为每个结点分配可变的存储空间(它的可变性体现在对于每一结点,其子结点数目可以不同,该性质的强调是为了与二叉树区分开来,因为二叉树的子结点指针数目总是2),有以下三种方式,:
- 将指向子结点的指针数组作为结点的一部分分配给该结点。这是一种直接的方式,即直接为每个结点分配对应数目的子结点指针数组。这样的方法在子结点数目已知和不变时效果最佳。
- 使用一系列可利用空间,每一个可利用空间都对应每一个结点的子结点数组大小,如图F5.d所示。当某一结点的子结点数目从M变为N时,从可利用空间取出空间为N的链表,然后空间为M的链表返回可利用空间。
- 每个结点都存储一条子结点指针链表。如图F5.e所示。
这三种方式的不同之处在于对子结点的处理。第一种方式处理子结点数目不变的情况,第二种方式处理子结点数目变化的情况(注意到这种方式需要提前准备若干不同空间大小的链表),第三种方式的处理更加灵活,它将第二种方式的缺点进行弥补,使得子结点不必再组织在数组中而割裂开来,但它需要更多的空间。
(四)动态结点左子结点/右兄弟结点表示法
本表示法是对动态结点表示法第三种方式的改进,提高了空间效率。在这个方法中,每个结点包括结点值和指向最左子结点、右兄弟结点的指针,它本质上是将树转化为二叉树,“左子结点”是最左子结点,“右子结点”是右兄弟结点。

五 顺序表示法
树的顺序表示法也是一种树的实现,但与前面树的实现方法有着本质上的区别。它的目的是存储结点的值,其中包含了尽可能少、但对于重建树结构必不可少的信息。因此,这种表示法适合用于将树结构压缩在磁盘上,以备以后使用时重建;也可以用来序列化树结构(序列化是指把一个对象以一系列字节形式存储的过程,以便这种数据结构在计算机之间传输)。
在研究树的顺序表示法前,不妨从二叉树开始探究。
(一)二叉树的顺序表示法
对二叉树而言,每一个结点或者是叶结点,或者是具有两个子结点(其一可能为空)的分支结点。那么应注重对叶结点和分支结点的区分,以及对空结点的表达。方法如下:
- 区分叶结点和分支结点:采用位向量表示法标记。例如
1表示分支结点,0表示树结点。 - 空结点的表达:使用某一标记,例如
/。
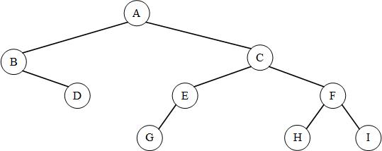
比如对于图F6而言,顺序表示法的结果是AB/DCEG/FHI(位向量是11001100100)。

(二)树的顺序表示法
注意到树和二叉树的主要区别(见本文开头),我们需要解决如何表达子结点数目信息的问题,同时不必关注空结点(因为树不存在空结点的定义)。一种有效的方式是直接使用某个标记表示子结点表的结束,例如),这样就不必再标记叶结点或分支结点了——所有叶结点后都有该标记,因为叶结点没有子结点。比如对图F5.a的树,其顺序表示法的结果是RAC)D)E))BF)))。但是这种方法不能使用在二叉树上,因为二叉树需要区分左右子结点。如果使用此法,譬如对图F6的二叉树而言,将无法区分D是B的左子结点还是右子结点。
